Introduction
Usain Bolt is currently the fastest sprinter in the world. His two world records in last year’s athletics world championships were astonishing even for his standards, but what next? Bolt has often talked about reverting to competing in his original event of the 400 metres, and has already competed in a 400 metre race this year. If he focuses his training sufficiently, he may be able to top Michael Johnson’s 400 metre world record (43.18 seconds), which has stood for 11 years. Bolt has also told his coach that he would love to try his hand at the long jump and thinks that he would be very good at it. Is this likely? Could Bolt be any good at the long jump, and will we see any new world records?
Long jump
Just like the sprint events, explosive power is an essential attribute if you are trying to learn how to jump higher, competitors sprint along a 40 metre runway before jumping in to a sand pit. A jump is only counted if the athlete takes off behind a foul line, which is marked out by a board. The distance of the jump is measured from this foul line to the nearest mark made in the sand pit. It’s not hard to see why Usain Bolt might be successful at this event, in theory the faster you can take off the further you will be able to jump, with Usain Bolt’s credentials you’d expect more than a modicum of success.
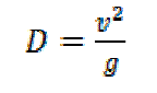
According to data collected at the 2009 Berlin World Championships, Bolt managed to top 12ms-1 at the 40 metre mark of the 100 m final (graph), approximately 15% greater than his average velocity. If Usain Bolt was able to maintain this velocity during take-off, we can calculate maximum jump distance using elementary kinematics. With an optimum take-off angle of 45° and ignoring air resistance jump distance D, is given by:

where v is the initial take off velocity and g is the acceleration due to gravity. With v = 12ms-1, and g = 9.81ms-2, D is a massive 14.68 metres. This is 64% more than the world record of 8.95 metres held by Mike Powell and set in 1991. However, this equation does not take in to account the velocity lost during take off, the height difference between take-off and landing, and the optimum take off angle because of this change in height. However it does demonstrate that the faster the take off velocity v, the longer the distance of the long jump.
Modelling the long jump
A detailed long jump kinematic model will produce a more accurate estimation of Bolt’s potential long jump distance. Tan and Zumerchik have produced a model to relate horizontal running velocity to long jump distance (Kinematics of the Long Jump). This model takes in to account the energy lost when transferring horizontal velocity in to vertical velocity, as well as the change in height of the centre of mass of the long jumper. Geometries used by the model are shown below in the diagram:

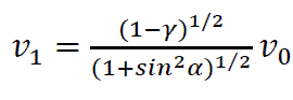
Using the model and applying it to Usain Bolt, we find that with at 1.93 m high, constant ‘a’ (distance to centre of mass) will be 0.965 m and ‘b’, (distance to centre of mass at landing) will be approximated as 0.6 m. From Tan and Zumerchik’s model, the jump distance R is given by:

where ‘v1‘ is the initial take off velocity, ‘α‘ is the take off angle, ‘h‘= a–b sinβ and ‘β‘ is landing angle, taken to be about 45°. The take off velocity ‘v1‘ is the initial horizontal velocity ‘v0‘ and the equation:
‘1-γ‘ is the efficiency of the velocity transition and is taken to be around 90%
Results
According to the model, the existing world record of 8.95 m set by Mike Powell in 1991, was set with an initial running speed of 11 ms-1, and a take off angle of 33.06°. This take off velocity is a full 1 ms-1 lower to what we expect Usain Bolt to achieve. Using a spread sheet optimisation function and the long jump model, Usain Bolt could achieve a long jump distance of 10.50 metres with a take off angle of 33.24°, his take off speed ‘v1‘ would be 9.98ms-1.
Discussion
The model suggests Usain Bolt could beat the long jump world record by a whopping 1.55 metres. This is a massive margin, but nobody thought that the 100 metres World record would drop to as low as 9.58!
There have been many athletes in the past that competed in both the 100 metres and the long jump. Famous examples include Marian Jones with a long jump distance of 7.31 metre and 10.65 seconds in the 100 metres, Jesse Owens with a 8.13 metre long jump and 10.2 seconds in the 100 metres and finally Carl Lewis with a long jump of 8.91 meters and 9.86 seconds for the 100 metres.
In his time, it was estimated that Carl Lewis could have achieved a top running velocity of 11.5 ms-1. This is only 0.5 ms-1 down on what we expect Usain Bolt to achieve. Using this initial velocity and applying it to the long jump model, Lewis is predicted to have jumped 9.69 metres! However in the 1991 long jump final at the world championships, Lewis could only managed a jump of 8.91 metres, 4 centimetres shorter than Mike Powel and 78 centimetres shorter than what the model predicts. There could be many reasons for this. For example, the repeated sprints down the long jump track could have tired Lewis out reducing his horizontal velocity, or his long jump technique was not as efficient as Mike Powel who is thought to have had a slower horizontal velocity.
It seems that running extremely fast down a long jump runway would be the easy bit for Bolt. However transferring his translational kinetic energy in to an equally impressive long-jump-distance requires a specific long jumper’s technique. If Bolt is coached correctly and learns an efficient long jumping technique, we may see a new world record. Even if Usain did not master the most efficient long jumping technique and he wastes 20% of his original energy rather than the initial estimate of 10%, his predicted long jump distance will still be 9.46 metres.
So could Usain Bolt actually break the world record in the long jump?
Yes is the short answer. Usain Bolt seems to already have many of the attributes of a world class long jumper. However it takes a specialist to compete at the long jump, and an efficient jumping technique is required. It’s just a matter of whether Bolt can learn to jump efficiently and turn his record running speed and kinetic energy in to long jump distance. Bolt is a formidable athlete, it would be no big surprise if he manages to do this at some point in his career. So watch this space, Usain Bolt – fastest man in the world could be accompanied with Usain Bolt – longest long jumper in the world.
Evidence, does faster sprinters mean longer long jumpers?
Evidence for this can be found in athletics records of the long jump and 100 metre sprint. Long jump and 100 metre performances have increases since the start of long athletic competitions. Figure 1 shows the average of the top 25 male long jump and 100 metre performances since 1891. There is a clear rise in long jump distances and drop in 100 metre performance times.

If we take the average of the top 25 long jump performances each year for male and females athletes and plot these against the average velocity of the top 25 100 metre performance we get the second graph shown below. From this graph we can see that there is a clear linear trend. An increase in average velocity in the 100 metres means and increase in long jump performance. It’s important to remember that in most cases, completely different sets of athletes are being compared.

How does this tie in with the simplest long jump model?
Now if we apply the simplest parabolic flight model to the average velocity in the 100 metres each year, we can see how average velocities in the 100 metres relates to long jump distance. Remember to note however the average velocity upon completing the 100 metres is lower than the maximal velocity that can be achieved. If we look back early, Usain Bolt’s maximum velocity was approximately 15% lower than his average velocity. We also need to consider the launch velocity V1 which in the case for Usain Bolt is approx 17% lower than his maximal speed. This means using a quick approximation the take off velocity v1 will be 0.9545 x average velocity (1.15 x 0.83). Plotting this new take off velocity calculated from average velocity in the 100 metres produces the graph:

The three coloured lines are the simple parabolic flight model for three different value of ‘α‘ take off angle. We can see that long jump performance data closely matches this simple model when α = 35°. This angle ties in closely to the optimum angle (33.84°) calculated for Usain Bolt using the more detailed model of the long jump.
The evidence presented here suggests that there is a strong link between sprinting velocities and long jump distance, and as average velocities in the 100 metres event have increase over the years, long jump has increased inline with these increases. The improvement in human athletic performance demonstrated is not fully understood, or meaningfully quantified. Look out for future blog posts on the topic of improvements in human athletic performance.
Leon Foster













the Q is can he take off on that projected angle on that speed he was moving with in his 100m. in theory anything can happen but yu have to put into consideration that speed affects the angle at take off!!!!!!!
LikeLike
I think Bolt could be a very fine long jumper. The great long jumpers are all fast; not all of them have been world record sprinters like Owens and Lewis, though.
Here are a couple of issue: Would you concede to Bolt the highest running vertical jump? Likely not… as it is very likely that if we measured the top of a hand slapped against a basketball backboard, that the speed of approach for the athlete is something less than full out. For each additional degree of angle toward the magical perfect long jump trajectory, something is likely taken away from absolute top speed. If not, how did Powell ever beat Lewis?
What we lack is much of any information about the vertical vector power Bolt would also need to excel in to convert his speed into a huge world record jump.
*** Heck, what I want to see him do is run a 400 meter, just once. Now that would be very interesting!
Brad Reid
LikeLike
Lets look at this from a different angle. Carl Lewis was the best long jumper ever [four golds, non-altitude WR until he lost it by a bit]. Lewis is only a little bit slower than Bolt and certainly a better technician at the event than Bolt could expect to learn to be. So, take Lewis’s best jumps and figure what the speed increment might be:
Their 100s were run comparably in the sense that they do better in the second half than in the first half, so take as a starting point their speed difference of approximately 2.5%
Next, runway speed is different than sprint speed because you run more straight up and then set your hips differently. Bolt loses 1% of his advantage
Landing: Unlikely that he will land like Lewis could (more likely to look like Jemoh (American woman LJ with good speed/power but questionable landing technique). Thus the ‘h’ differential will likely take some more of the advantage of his speed.
Takeoff: The likelihood that he can match Lewis’s takeoff angle is pretty small [see the first comment]. Each 1 degree of takeoff differential is about the same as 1% differential in speed. Bolt loses a bit here as well. [I think that an analysis would indicate when he was at his best, Powell was better with the takeoff angle than Lewis, which might have to do with the differential muscle structure of the jumper vs the sprinter; this would further bode ill for Bolt’s likely performance].
Yes, I would be interested in seeing if he does the LJ. I suspect that he might not because he seems to want to have the legacy of the best T&F athlete ever, and if he cannot get close to 9m in the LJ then Lewis looks better, whereas if he does not do the LJ then it is an open question, not a closed one. Thus, I expect him to go the 400 not the LJ, as there is less risk to his legacy if he cannot get to the top and the risk of not getting to the top (and how close he gets) is less.
LikeLike
Powell was a 7′ high jumper in high school and this was his strength over the faster Carl Lewis. All things being equal, when he beat Lewis, it was owing to his better vertical component.
For a roughly 40″ standing vertical jump, a jumper needs a launch velocity of 4.5 m/s… and this is pushing off of two feet, not launching off a long jump toeboard off one foot. My point here is that if a long jumper is attempting to pump his leg vertically at a terminal separation speed of about 4.5 m/s, doing that off of a foot that is moving at a much faster 11 or so m/s is problematic.
I guess it is analogous to running along a box car on a train going 30 mph attempting to hit the ground running… the ground is moving away faster than you can pump out a stride.
In addition to Dave’s comments about landings and all issues related to the long jump event itself, Bolt would have to attempt to apply a vertical component of his jump on top of a very fast horizontal component, this in order to get anywhere near the trajectory angle for a big jump.
Powell had the best vertical element; Bolt the obvious best horizontal element, but the best jumper is the one who can marry the two elements together best. That would not be the best sprinter nor would it be the best high jumper, but a hybrid sort of athlete.
Brad
LikeLike
Just a comment on Carl Lewis’ vertical leaping ability. Shortly after Lewis stopped attending the U of Houston, 1, maybe 2 years, he was reported to have jumped over 7 feet one day in practice just for fun. While I never talked to an actual witness about this, track nuts at the University of Texas claimed it was so. I would find it tenable that he did so. Presumably he used a flop. I would estimate that Lewis could have jumped at least 7′ 4″ if he had focussed on that event. Recall, too, that he was given a foul call on a reportedly witnessed legal jump of 30′ 0″, at U of Indianna I believe, in which he made no mark on the putty strip, but was witnessed to have his toe ~ 1/4′ over the line. Many thought the foul call was technically wrong. Hard to say that Powell, therefore, was better at the vertical leap.
LikeLike
Joe, no, it is easy to say that Powell was a better high jumper because his wasn’t anecdotal. And, from the science perspective, you have to sort of know that Powell’s inputs to a long horizontal jump were different from Carl’s.
What we do know is that high jumpers don’t approach the bar at maximum speed, that it has to be significantly throttled down in order to achieve a good spring off of the plant foot. The long jump is similar just to a different degree, a different mix of the two.
Yes, Carl did have that huge long jump… I thought it was in Colorado at altitude but it was so long ago, it may have been where you suggested. It did sort of mark a trait in the man, that he was a long jumper first, but never specialized over a few meets to knock out the world record. It seems ironic at first, but he also never held the 200M record. In one meet in a semi-final run, he had the record “in hand” blazing around the corner into the home stretch, then amazingly threw his hands in the air celebrating about 10 meters too soon, and missed Pietro Minnea’s 200 WR by a few hundredths. He would never get the opportunity to break the record again as he never ran that fast later.
Lewis did hold a WR in the 100M, his only outdoor WR… outside of relay events. He should have had three WRs except for “poor planning.”
Beamon, yet another great jumper who proves that the best jumps are not about the greatest speed but the perfect meshing of a horizontal runway speed with the sort of vertical leap off of the plant foot. This apparently occurs WAY below Bolt’s speed. Bolt’s extra speed would be superfluous… too fast to mesh with a good lunge off the jumping leg… say a 4.5 m/s upstroke trying to mesh with a 11 or 12 m/s speed. It cuts into the time the foot needs to be in contact with the ground for a good vertical stroke… like slipping on a banana peel.
Brad
LikeLike
L & G’s,
James White, an unknown college player out of Cincinnati, qualified for the Olympic trials in the high jump by leaping 7-4 and the long jump with a distance of 25-7… without ANY training. The only thing that would prevent Usain Bolt from breaking the long jump record would be the short runway. I doubt the fastest man ever is done accelerating by the time he reaches the toe board. Everything else is in his favor though. All pro athletes have a higher running 1 foot jump than a 2 foot standing jump and Bolt, because of his height, most likely has a higher center of gravity than Powell does.
LikeLike
This should have been left to a track man, not a physics egghead. NO, NO, NO long jumper can produce an optimum jump at his/her top speed. They simply can’t produce the ‘uplift’ at the point of takeoff.
A trackmans opinion, vastly less Oxfordian and way more valuable: If Bolt has great leaping ability ( like Mike Powell ), can maintain physical compusure at a high speed run up ( Carl Lewis was a master ) and ‘load the takeoff leg’ to optimize the 2 of them, and most importantly dedicates himself to the sport, his long legs might stretch him out on a conditions perfect day incrementally past 30 feet . Breaking the 29 foot barrier by 1.55 meters? 34 feet?
Keep your slide rule away from athletics Poindexter, you wield it foolishly.
LikeLike
Thanks for your comment Franc, I do take your point that Usain Bolt would never just go out and break the world record straight away with one jump. However I think you may have slightly misunderstood the blog, this was a speculative article aiming to highlight the remarkable talents of Usain Bolt. The slide rule as you put it was a well established model clearly showing the relationship between running speed and long jump distance. Understandably Bolt would have to train in the long jump to achieve note worthy distances, but I feel a conservative estimate of 9.46 m (31 feet for those of you that still work in imperial units) is well within his ability. Being a ‘Trackman’ Franc, what is your speciality? Are you yourself a sprinter, long jumper or a coach?
LikeLike
Can anyone explain the dimensions in the above equation? I don’t understand how the term including 2gh^1/2 results in a distance… The resulting dimension for this term, as I understand, is ms^-1*m^1/2, which doesn’t make sence to me. Could anyone clarify this?
LikeLike
Alright, I relized the square root should be on the whole bracket, as the dimensions for the v^2 term also are wrong…
LikeLike
Hi Pi, thank you for spotting that one. I have double checked and you are right the square root should be on the whole bracket. This was a typo on the blog write up but the correct equations were used in the calculations.
LikeLike
The take off angle assumption seems too steep. The numbers I have seen rarely exceed 23 degrees.
Mike Powell’s technique gave him a distinct advantage over Carl Lewis. First, he raised his arms prior to leaving the board raising his center of gravity, then he would land sideways putting his cg close to the sand. Carl’s feet and butt contact the sand long before his cg costing him several inches in distance.
I don’t think we will ever see a long jump world record from Bolt. Marion Jones showed the world that even if you have the speed, if you don’t practice the event, listen to your coach, or have a coach that knows what they are talking about you won’t break world records.
LikeLike
Yeah I agree with your comment Scott, gone are the days where you can compete competitively in both the 100 metres and the long jump at the same time. Usain would have to concentrate on the long jump and disregard the 100 metres…. I can’t see this happening in the near future.
LikeLike
I would love to see Bolt do the long jump. I think he would be a natural at it, and we would see the first person to break 9m. That said, it is not just about how fast you run down the run way, but how controlled your stride is down the run way. I was a long jumper and a sprinter, and your approach in long jump is more measured then your stride in sprinting. The faster you run the harder it is to control your last 3 strides for take off and transition through the penultimate stride. Mastery of this helps with take off angle and ultimately distance. To Bolt’s advantage, is that he is soooooo fast, with such a long stride, that he could coast his approach at a measured and controlled 95% and still be faster than any other jumper and allow for good transition from approach to knee drive. His penultimate stride would be awesome because of the difference in length between his 2nd last stride and his penultimate stride, lowering his hips and giving him significant pop of the board. His height would allow for a powerfull knee drive at take off, and if he developed a good landing technique his long legs could give him extra range on landing. The challenge he would have would be technique during the flight phase of the jump, with his speed and height it may be difficult for him to maintain form and ballance in the air.
EW
LikeLike
A lot has been said already… Bolt would have to do a lot of work on concentration and his vertical component which, to the best of my knowledge hasn’t been tested yet. He’ll have to be at his best and, better still forget about his past achievements (except of course to draw courage from there.) He has to take it up as something new.
LikeLike
Alright, I relized the square root should be on the whole bracket, as the dimensions for the v^2 term also are wrong…
Vertical Jump Bible
LikeLike
Would be very interesting to see.
LikeLike
[…] colleagues have written over this time. Some have been fantastically successful, such as the ‘How far could Usain Bolt jump?‘ piece by Leon Foster. It is still being picked up by sites all over the world which […]
LikeLike
[…] but since then he has become, arguably, the most famous athlete in the world. In 2010 I wrote an article attempting to predict how far he would jump in the long jump. The fame surrounding Bolt is so great […]
LikeLike
Usain Bolt could also compete in high jump? it has the same height as Javier Sotomayor, and I think the power of your legs must be greater than the Cuban record holder. I think Bolt can fly practically not only along but also high. It may be the only one to beat the ribbon of the 8 feet tall?
Bolt has a physical as priviledged as Sotomayor when he broke the record from 1988 to 1993.
regards
LikeLike
*come
LikeLike
Hi there Daniel, and thank you for your comment. The second equation is a way of estimating take off velocity given a horizontal running speed. The better long jumpers have a more efficient take off, which means they do not loose as much speed when they jump in the air. This equation just creates an efficiency term and relates it to the take off angle, the horizontal running speed and take off speed.
LikeLike
Thanks for the answer. I get it: the faster you get to the instant of the take off the longer you jump, and part of that velocity is reduced… I was curious about the mathematical expression: why is it ” (1+sin^2)^1/2 ” ?
LikeLike
I get the first equation (jump distance)… simple ballistic trajectory… but
Where does the second equation (velocity transition) comes from?
LikeLike
Too much free time, my friend.
Anyway, Bolt won’t compete in the LJ in Rio because by then he would have already been banned for PED use.
LikeLike
Hi, thanks for your comment, we will just have to wait and see what happens in four years time.
LikeLike