What do physicists think about when they’re running? I’m currently training for my first marathon (gulp) which gives me a lot of time to think. Running around Sheffield, most of the time I think about how unfair it is that there is another hill and wonder why it is that the wind is always against me no matter which direction I’m going in. Generally, when I’m running all the blood seems to flee my brain so mental calculations take an awful long time: here are just a couple that keep me occupied on my long training runs.
The wind is always against you
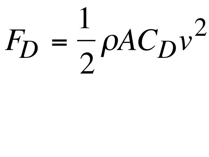
The formula for drag force (left) tells you that force (F) is proportional to the density of the air (rho), the presented area of the runner (A), the drag coefficient of the runner (Cd) and the speed (v) squared. So, all things being equal, if you double your speed the drag force quadruples.
For example, if you’re running at 10 km/h and you have an extra headwind of 1 km/h (i.e. 10%) then the drag force goes up by 21%. If the wind turns and it is now behind you, the drag force drops by only 19%. This difference gets worse as the wind speed increases (see figure below). The only time you get respite of any sort is when the wind speed is the same as your running speed; in this case the drag force is quadrupled when it’s against you, but reduces to zero when it is behind you (which happens more often than you might think on the fells around Sheffield).
So, yes, windy conditions are only ever a bad thing if you’re changing direction a lot (such as fell running or running around a track), and what you gain from the wind behind you is never as much as you lose when it is against you. My tip? Always run behind your training partner when the wind is against you and crouch to make yourself small. When the wind is behind you, forget your partner and run tall in the open with your arms out, preferably wearing a sail-like jacket.
The effect of hills: Naismith’s rule for running
Someone told me once about Naismith’s rule for walking and hiking created in the late 1800s; this says that for someone who walks 3 miles in an hour, then you need to add half an hour for every 1000 ft of climb. I wondered how I could work out one for running and, more importantly, for me (the hardest mental calculation when running was converting from imperial to metric – try it, it’s really hard).
Well, as a running geek, I use a GPS which gives both distance and height gained and I’ve collected data for around 30 training runs across relatively bumpy and hilly terrain of between 2 and 30 km distance. I put the data through a statistics package (SPSS) which came up with the following equivalent of Naismith’s rule (which I will call Haake’s rule since the numbers are specific to me and I will probably never find a fundamental particle of physics nor create a new grand unified theory):
Time (minutes) = 1.13 + 4.92 x (distance + 11.1 x height)
(R2 =0.962 p<0.001)
where distance and height are measured in km. To summarise, this approximates to:
Every meter of climb increases running time by 11 times the same distance on the flat.
For example, the marathon I’m about to do has around 120m of climb so my time will be 1.13 + 4.92 x (42.192+11.1 x 0.120) or 215 minutes (3 hours 35 min).
This appears to agree with anecdotes on message threads on Runners World, although I’ve yet to find any research papers. The rough rule of thumb I’ll use for calculations as I run and the blood drains into my feet, will be that the time in minutes is approximately 5 minutes per kilometer plus 55 minutes per km of height gained.
I’m worried that my marathon time seems a little fast. Whatever time I do, I’ll use it to think about my next problem – what is the effect of running shoe weight on energy expenditure?
Update 1
Posts on Runners World pointed me towards this article in Running Times Magazine. Work on treadmills found that every 1 % of incline increased times by around 3.3%. In comparison, my prediction equates to around a 10% increase for every 1% of incline or three times as large. I think the basic difference is the terrain – rarely does treadmill running involved jumping over boulders or logs.
Update 2
My marathon time was 3 hours 31 which actually wasn’t too far off the prediction. I’m a bit disappointed that I didn’t get below 3 hours 30 – I’ll just have to do another one.

Nice blog Steve, very interesting.
It would be interesting to see how running compares to cycling.
LikeLike
One other piece of data to be gleaned from the graph – perhaps we could call it the ‘Sheffield Rule’ is that everywhere you go you’re either running up or down at least a 4% hill (and probably into the wind as well!)
LikeLike
[…] The sport of running is no exception and if you are a keen runner you will be well aware the benefits of a tail wind and also the torment of a strong headwind served up with some heavy rain to boot! Steve Haake recently wrote an interesting article on the way wind influences running performances (link). […]
LikeLike
[…] effects of wind on long distance running have been discussed on this blog previously, particularly on marathons. Now with the approach of the World Athletics Championships, I […]
LikeLike
On an inclined treadmill your foot descends as your weight is on it, so you do not do as much work as on a static hill because you do not lift your body weight as far.
LikeLike
Hello Steve,
Very interesting post! Adaptation of Naismith’s rule to running!
And I’m really interested to know how did you actually do your calculation.
Did you consider the effort? ( correction with heart rate for example)
I guess the elevation did not come from GPS “z-axis” signal but rather from garmin or other elevation correction right?
Well done! and many thanks for your interesting post!
LikeLike
Hi,
I didn’t adjust for effort, heart rate etc. but they were all training runs of about the same pace. I don’t seem to vary much. The elevation change came straight off the Garmin GPS watch and I always returned to the same starting point (as far as I remember).
Thanks for reading!
Steve
LikeLike